理学部秦玉鹏博士的研究成果“Analytical solution for the collapse motion of an empty hyper-spherical bubble in N dimensions” 在SCI期刊Physics Letters A [2020, 384(6): 126142]上发表。
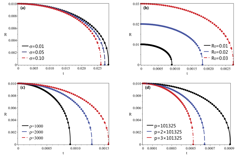
空化和空蚀是气泡动力学领域的一个核心课题。空泡溃灭时产生很大的瞬时压强,当溃灭发生在固体表面附近时,水流中空泡不断溃灭产生的高压强的反复作用,可破坏固体表面,这种现象称为空蚀。在水利水电工程、船舶和海洋工程等领域,各类水电水泵站、船舶和海洋平台在工作过程中都伴随着空化与空蚀现象,对水力机械和船舶等的工作效率及寿命产生极大危害,并已成为影响水电水泵站甚至整个枢纽和平台正常工作的首要问题之一,更是被称为水力机械的癌症。本文借助Rayleigh-Plesset方程考虑了高维真空气泡的溃灭运动,给出了气泡溃灭时间及气泡半径演化的精确解析解。该解析解综合了空间和表面张力的影响,一定程度上使前人的结果得以统一。此外,本文借助Gamma函数、积分变限函数和超几何函数,通过讨论气泡在极端和非极端物理情形下的解析解性态,研究了气泡溃灭的动力特性和运动规律。评审人认为该工作补充了气泡溃灭的基础理论。

气泡在不同物理参数下的溃灭过程
Physics Letters A是Elsevier旗下的高水平学术期刊,为流体物理领域的国际权威杂志。主要刊登数学物理、流体物理、非线性科学、量子信息、人工智能和机器学习等相关领域的文章。
论文链接:https://doi.org/10.1016/j.physleta.2019.126142